Xuyên Vào Sách Toán Học Phải Làm Sao Đây?
Chương 43
*Chương này có nội dung ảnh, nếu bạn không thấy nội dung chương, vui lòng bật chế độ hiện hình ảnh của trình duyệt để đọc.
‘Nguyên lí hoạt động của máy tính’ là gợi ý. Đồ Hoá nhìn những chữ cái được đánh vần bằng gáy sách màu trắng và lập tức hiểu ý nghĩa của chúng.
‘Q _ E’ là 3 chữ cái đầu tiên của hàng phím thứ nhất trên bàn phím máy tính, trong khi ‘A S _’ và ‘Z _ _’ lần lượt 3 chữ cái đầu tiên của hàng thứ hai và thứ ba của bàn phím. Vì vậy, những dòng chữ này phải là:
Q W E
A S D
Z X C
Các chữ cái trong bốn khoảng trống là W, D, X và C. Đồ Hoá vội vàng lấy mấy cuốn sách gáy trắng bên cạnh và ghép nó vào khoảng trống của phần gáy đỏ.
Ngay khi cậu hoàn thành, toàn bộ bức tường bắt đầu điên cuồn thay đổi. Màu sắc của gáy sách cũng nhấp nháy và thay đổi thành một câu trên tường: [Nút D ở bên cạnh nút E].
Manh mối thứ tư!
Đến thời điểm hiện tại, bọn họ đã thu được tổng cộng bốn mẩu thông tin về 6 nút ở cửa: Nút A ở bên trái nút B; nút B nằm ở vị trí thứ ba bên phải nút C; nút C ở bên phải của nút D; nút D nằm cạnh nút E.
Dựa theo 2 mẩu thông tin đầu tiên, bọn họ có thể xác định được vị trí của A, B và C. Thông tin thứ ba cho biết C ở bên phải của D, tức là D phải ở trước C. Bây giờ, thông tin thứ tư cho họ biết D ở cạnh E, nghĩa là E trước D một vị trí hoặc sau D một vị trí.
Nút đầu tiên hẳn D hoặc E.
Đáp án đã gần ngay trước mặt rồi. Quy tắc nói nút lệnh đúng là nút không được đề cập trong manh mối. Nếu sử dụng bảng chữ cái Latin để sắp xếp 6 nút, nút duy nhất không được nhắc đến là nút F. Nếu F là nút lệnh đúng, manh mối cuối cùng sẽ không liên quan gì đến nó mà chỉ bổ sung cho 5 nút còn lại.
Đồ Hoá thấy hơi hào hứng. Cậu muốn nhanh chóng tìm ra manh mối cuối cùng.
Cả hai nhanh chóng rời khỏi phòng làm việc và đi đến các tầng khác để tìm kiếm. Lâu đài cổ này quả thực to kinh khủng. Bọn họ tìm khắp mười tầng đến khi thở hồng hộc vẫn chưa tìm ra manh mối thứ năm.
Vương Bác Vũ thực sự muốn tìm kiếm lại nhưng Đồ Hoá cảm thấy có gì đó không ổn. Tuy đúng là vị trí của manh mối cuối cùng thường sẽ khó tìm hơn nhưng bốn manh mối kia vô cùng rõ ràng, liếc mắt thôi cũng nhận ra. Vậy thì manh mối cuối cùng này hẳn phải được đặt ở nơi dễ thấy mới đúng.
Nhưng những nơi khác trong lâu đài đều rất bình thường, trong phòng trừ đồ đạc ra thì không có gì đặc biệt. Các tầng trên thậm chí còn có chút chiếu lệ, ngay cả đồ đạc cũng không có.
Vậy thì manh mối ở đâu?
Hai người trở lại tầng một lần nữa thì thấy NPC trẻ tuổi đang nấu mì ăn liền.
Đồ Hoá kinh ngạc nhìn anh ta: “Chương trình của anh chỉ được lập trình để nấu mì gói thôi hả?”
NPC liếc hắn một cái: “Nửa ngày rồi mà. Tôi cũng đói chứ…”
Vương Bác Vũ dựa vào khung cửa và nhìn anh ta: “Tôi cũng đói.”
NPC phớt lờ hắn và ngồi vào bàn ăn với bát mì ăn liền. Đồ Hoá nhìn anh với ý tứ sâu xa, hỏi: “Anh có chuyện gì giấu tôi à?”
NPC ngẩng đầu nhìn cậu: “Tôi giấu cái gì?”
Đồ Hoá cười vươn tay lấy mấy lá bài từ trong túi áo khoác của NPC, nói: “Chứ cái này là cái gì?”
NPC nhanh chóng đưa ta muốn giật lại, trên mặt lộ ra vẻ tức giận: “Sao còn lấy đồ từ trong túi người khác?!”
Đồ Hoá hờ hững lật qua lật lại mấy tấm thẻ, sau đó trả lại cho NPC: “Không phải anh kêu tôi tìm manh mối trong lâu đài à? Anh cũng ở trong lâu đài mà nên tôi nghĩ… Manh mối cuối cùng ở chỗ anh.”
Tuy rằng cái này NPC thoạt nhìn có chút ngốc nghếch, đầu tiên là dọa Đồ Hoá, sau lại nói cần người chơi giải cứu. Tuy nhiên, bất kì NPC nào ở trong nhiệm vụ cũng đều có dụng ý nhất định. Nếu không dùng đến anh ta thì kì lạ quá.
Thế là Đồ Hoá cẩn thận quan sát anh ta một lúc và cố gắng tìm kiếm manh mối trên người anh ta. Hẳn rồi, cậu nhanh chóng thấy mấy lá bài trong túi áo anh ta. NPC mang theo bài Tây à? Nói anh ta không có ý gì thì ma nào thèm tin.
Hiển nhiên, IQ của NPC này được thiết lập không tốt lắm. Dưới sự ép buộc và dụ dỗ của Đồ Hoá, một lúc sau anh ta thú nhận: “Đúng vậy, tôi có manh mối cuối cùng.”
“Mà muốn lấy cũng không có dễ đâu nha.” Anh ta vừa nói vừa đưa những lá bài ra.
Có tổng cộng 6 lá bài: Bốn (4), hai (2), át (A), đầm (Q), và 2 lá già (K). Anh xáo trộn thứ tự của sáu lá bài và đặt chúng lên bàn, sau đó nói: “Đây là sáu lá bài với 2 lá già. Cậu có 1 cơ hội để lật hai lá cùng một lúc.”
“Cậu phải dự đoán trước mình sẽ lật lá nào, và 2 lá cậu lật ra phải trùng với dự đoán. Đương nhiên, cậu đâu thể đoán bừa được.” NPC kiêu ngạo nói: “Cậu chỉ có hai lựa chọn: Ít nhất một trong hai lá bài có quân già; hoặc hai quân bài này không có quân già. Cậu chọn một trong hai khả năng này, và 2 lá bài cậu lật phải giống với dự đoán của cậu.”
“Nếu cậu làm được thì tôi sẽ cho cậu manh mối cuối cùng.”
Đồ Hoá hiểu ý của anh ta. Cậu được yêu cầu lựa chọn giữa ‘ít nhất một trong hai quân bài là lá già’ và ‘không có quân bài nào là lá già’, kết quả khi lật bài phải giống như dự đoán. Trong sáu quân bài, có hai lá già, và cậu phải lật hai quân bài cùng một lúc. Điều này có nghĩa là cậu đang đặt cược xem hai quân bài này là gì.
Đây là một câu hỏi về xác suất. Đồ Hoá phải xác định trong 2 khả năng trên, khả năng nào có xác suất xảy ra cao hơn rồi mới có thể chọn.
Nếu là bài toán xác suất thì thật ra rất dễ.
Vương Bác Vũ nhanh chóng đưa ra các bước và đáp án để phân tích xác suất: “Câu hỏi này thực ra rất đơn giản. Tổng cộng chỉ có 6 quân bài. Đầu tiên, đánh số hai quân già là 1 và 2, bốn quân bài còn lại lần lượt là 3, 4, 5, 6. Nếu rút hai thẻ cùng một lúc, ta có cổng tộng 15 tổ hợp.”
Tổ hợp là cách chọn những phần tử từ một nhóm lớn hơn mà không phân biệt thứ tự.
1 – 2; 2 – 3; 3 – 4; 4 – 5; 5 – 6
1 – 3; 2 – 4; 3 – 5; 4 – 6
1 – 4; 2 – 5; 3 – 6
1 – 5; 2 – 6
1 – 6
“Quân bài già được biểu thị là số 1 và số 2. Vì vậy, trong 15 tổ hợp số này có 9 tổ hợp trong đó có ít nhất một quân già, 6 tổ hợp không có quân già nào trong hai lá bài… ”
“Vì vậy, trong tổng số 15 tổ hợp, xác suất để hai quân bài có ít nhất một quân già là 9⁄15 hoặc 3⁄5, xác suất không có quân già là 2⁄5.”
Đồ Hoá gật đầu: “Đúng vậy, nói cách khác, nếu chúng ta chọn khả năng có ít nhất một lá già thì xác suất thắng tương đối cao.”
NPC có vẻ rất đắc ý: “Vậy là cậu chọn ít nhất có một lá già à?”
Trước mặt anh ta có 6 quân bài ngửa được đặt ngay ngắn. Nếu Đồ Hoá dự đoán như vậy, chỉ cần cậu lật 2 lá và có 1 quân già thì cậu thắng và nhận được manh mối cuối cùng. Tuy nhiên, dù có tính như thế nào thì xác suất này cũng không đạt 100%.
Cho dù xác suất xuất hiện ít nhất một lá già cao hơn thì cũng không chứng minh được Đồ Hoá chắc chắn sẽ chọn được nó. Nếu không may mắn, rất có thể cậu sẽ không lật được lá K nào.
Vương Bác Vũ cũng nhận ra có gì đó không ổn: “Xác suất thì dễ tính nhưng còn thực tế lật bài thế nào thì… Cũng là đánh cược với vận may nhỉ?”
NPC vô tội nhún vai: “Chịu thôi. Quy tắc là như vậy.”
Vương Bác Vũ khó chịu: “Nhưng nó không công bằng!”
Thấy hai người sắp cãi nhau, Đồ Hoá đột nhiên vươn tay giữ lấy Vương Bác Vũ để ra hiệu cho hắn bình tĩnh lại, sau đó bình tĩnh nhìn NPC: “Tôi chọn ít nhất có một lá già.”
NPC mỉm cười nhìn cậu: “Vậy thì xin mời cậu lật bài.”
Đồ Hoá gật đầu, không chút do dự lật ngẫu nhiên hai quân bài. Quân bài thứ nhất là đầm, quân thứ hai là già.
Vương Bác Vũ rất phấn khích: “Mày giỏi quá! Sao mày làm được vậy?! Mày may mắn vậy sao?!”
NPC cũng có chút kinh ngạc, nhưng anh ta không kinh ngạc vì Đồ Hoá tìm được là già. Nếu tính toán thì đúng là xác suất xuất hiện ít nhất một lá già cao hơn. Điều khiến anh thực sự ngạc nhiên là thái độ của Đồ Hoá.
Rõ ràng đối với người chơi, đây đúng là đánh cược một phen. Vậy tại sao Đồ Hoá lại có thể tự tin như thể… Cậu ta có con mắt thứ 3 nhìn ra được quân bài?
NPC bối rối, Vương Bác Vũ cũng lúng túng. Đồ Hoá mỉm cười nhìn NPC, đưa tay về phía anh ta: “Tôi trả lời đúng rồi. Anh cho tôi gợi ý nhé.”
NPC cau mày, giống như gặp phải lỗi hệ thống lần đầu tiên trong đời: “Cậu nói cho tôi biết trước… Làm sao cậu biết lá bài đó là lá già?”
Đồ Hoá bình tĩnh nói: “Đoán bừa.”
NPC híp mắt: “Cóc tin!”
“Ừ, không phải đoán bừa.” Đồ Hoá cười rồi nói: “Cho tôi manh mối trước đi rồi tôi cho anh biết.”
Bị thúc đẩy bởi lòng hiếu kì, NPC ngốc nghếch sẵn sàng đưa tờ giấy trong túi ra. Đồ Hoá mở ra thì thấy đây đúng là manh mối.
NPC càng mong ngóng muốn biết hơn: “Nói tôi biết được chưa?”
Đồ Hoá đưa tờ giấy cho Vương Bác Vũ, sau đó giơ lá K mà cậu đã lật lên: “Anh nhìn kĩ lá này đi.”
NPC híp mắt nhìn kĩ đến mức hai mắt suýt nữa giao nhau, rốt cục anh ta cũng phát hiện bí ẩn: Một nếp gấp nhỏ xíu nằm ngay góc trên bên phải của lá bài.
Lúc này anh ta mới hiểu ra. Anh ta tức giận, rống to: “Cậu gian lận!”
Nếp gấp đó là Đồ Hoá đánh đấu khi lấy mấy lá bài từ túi NPC. Cậu đã sớm thấy có 2 lá già trong 6 lá bài này. Vì vậy, cậu nhẹ nhàng gấp góc của một lá già. Nếp gấp nhỏ đến mức chỉ có cậu mới để ý.
NPC ra cái vẻ như bị lừa, vẻ mặt ủ rũ muốn cướp lại manh mối: “Cái đồ gian lận! Sao cậu có thể làm như vậy được?!”
Với vẻ mặt vô tội, Đồ Hoá trả đũa anh ta: “Quy tắc đâu có nói người chơi không thể đánh dấu trước. Chịu thôi. Quy tắc là như vậy.”
NPC kêu thảm thiết: “Đồ gian lận! Làm sao có thể có người chơi dối trá như thế này chứ!”
Đồ Hoá bình tĩnh bỏ lá bài xuống và bước đến cổng với manh mối. Cậu so sánh manh mối cuối cùng với các thông tin khác: [Có một nút giữa E và A].
Đồ Hoá suy nghĩ một hồi, sau đó nhìn sáu cái nút ở cửa và cười tươi: “Tôi biết phải bấm nút nào rồi.”
Mình có lời muốn nói: Mình giải thích thêm chỗ Vương Bác Vũ nói ‘có 15 tổ hợp’. Trong chương trình toán phổ thông lớp 11 đã có dạy tổ hợp, chỉnh hợp, xác suất. Trong trường hợp này, vì số lượng phần tử ít nên có thể đếm tay được chứ trên thực tế, nếu tổ hợp lớn hơn thì phải áp dụng công thức như sau:

Ví dụ, bốc 2 trong 6 lá bài thì số tổ hợp là tổ hợp chập 2 của 6, nghĩa là 6C2 = 15. Chứ giả bộ NPC cho bốc 5 trong 52 lá bài thì số tổ hợp là 52C5 = 2,598,960 không đếm kiểu như Vương Bác Vũ được đâu =)) Kí hiệu như này không sai, chỉ là nó không giống trong sách giáo khoa thôi nha.
‘Nguyên lí hoạt động của máy tính’ là gợi ý. Đồ Hoá nhìn những chữ cái được đánh vần bằng gáy sách màu trắng và lập tức hiểu ý nghĩa của chúng.
‘Q _ E’ là 3 chữ cái đầu tiên của hàng phím thứ nhất trên bàn phím máy tính, trong khi ‘A S _’ và ‘Z _ _’ lần lượt 3 chữ cái đầu tiên của hàng thứ hai và thứ ba của bàn phím. Vì vậy, những dòng chữ này phải là:
Q W E
A S D
Z X C
Các chữ cái trong bốn khoảng trống là W, D, X và C. Đồ Hoá vội vàng lấy mấy cuốn sách gáy trắng bên cạnh và ghép nó vào khoảng trống của phần gáy đỏ.
Ngay khi cậu hoàn thành, toàn bộ bức tường bắt đầu điên cuồn thay đổi. Màu sắc của gáy sách cũng nhấp nháy và thay đổi thành một câu trên tường: [Nút D ở bên cạnh nút E].
Manh mối thứ tư!
Đến thời điểm hiện tại, bọn họ đã thu được tổng cộng bốn mẩu thông tin về 6 nút ở cửa: Nút A ở bên trái nút B; nút B nằm ở vị trí thứ ba bên phải nút C; nút C ở bên phải của nút D; nút D nằm cạnh nút E.
Dựa theo 2 mẩu thông tin đầu tiên, bọn họ có thể xác định được vị trí của A, B và C. Thông tin thứ ba cho biết C ở bên phải của D, tức là D phải ở trước C. Bây giờ, thông tin thứ tư cho họ biết D ở cạnh E, nghĩa là E trước D một vị trí hoặc sau D một vị trí.
Nút đầu tiên hẳn D hoặc E.
Đáp án đã gần ngay trước mặt rồi. Quy tắc nói nút lệnh đúng là nút không được đề cập trong manh mối. Nếu sử dụng bảng chữ cái Latin để sắp xếp 6 nút, nút duy nhất không được nhắc đến là nút F. Nếu F là nút lệnh đúng, manh mối cuối cùng sẽ không liên quan gì đến nó mà chỉ bổ sung cho 5 nút còn lại.
Đồ Hoá thấy hơi hào hứng. Cậu muốn nhanh chóng tìm ra manh mối cuối cùng.
Cả hai nhanh chóng rời khỏi phòng làm việc và đi đến các tầng khác để tìm kiếm. Lâu đài cổ này quả thực to kinh khủng. Bọn họ tìm khắp mười tầng đến khi thở hồng hộc vẫn chưa tìm ra manh mối thứ năm.
Vương Bác Vũ thực sự muốn tìm kiếm lại nhưng Đồ Hoá cảm thấy có gì đó không ổn. Tuy đúng là vị trí của manh mối cuối cùng thường sẽ khó tìm hơn nhưng bốn manh mối kia vô cùng rõ ràng, liếc mắt thôi cũng nhận ra. Vậy thì manh mối cuối cùng này hẳn phải được đặt ở nơi dễ thấy mới đúng.
Nhưng những nơi khác trong lâu đài đều rất bình thường, trong phòng trừ đồ đạc ra thì không có gì đặc biệt. Các tầng trên thậm chí còn có chút chiếu lệ, ngay cả đồ đạc cũng không có.
Vậy thì manh mối ở đâu?
Hai người trở lại tầng một lần nữa thì thấy NPC trẻ tuổi đang nấu mì ăn liền.
Đồ Hoá kinh ngạc nhìn anh ta: “Chương trình của anh chỉ được lập trình để nấu mì gói thôi hả?”
NPC liếc hắn một cái: “Nửa ngày rồi mà. Tôi cũng đói chứ…”
Vương Bác Vũ dựa vào khung cửa và nhìn anh ta: “Tôi cũng đói.”
NPC phớt lờ hắn và ngồi vào bàn ăn với bát mì ăn liền. Đồ Hoá nhìn anh với ý tứ sâu xa, hỏi: “Anh có chuyện gì giấu tôi à?”
NPC ngẩng đầu nhìn cậu: “Tôi giấu cái gì?”
Đồ Hoá cười vươn tay lấy mấy lá bài từ trong túi áo khoác của NPC, nói: “Chứ cái này là cái gì?”
NPC nhanh chóng đưa ta muốn giật lại, trên mặt lộ ra vẻ tức giận: “Sao còn lấy đồ từ trong túi người khác?!”
Đồ Hoá hờ hững lật qua lật lại mấy tấm thẻ, sau đó trả lại cho NPC: “Không phải anh kêu tôi tìm manh mối trong lâu đài à? Anh cũng ở trong lâu đài mà nên tôi nghĩ… Manh mối cuối cùng ở chỗ anh.”
Tuy rằng cái này NPC thoạt nhìn có chút ngốc nghếch, đầu tiên là dọa Đồ Hoá, sau lại nói cần người chơi giải cứu. Tuy nhiên, bất kì NPC nào ở trong nhiệm vụ cũng đều có dụng ý nhất định. Nếu không dùng đến anh ta thì kì lạ quá.
Thế là Đồ Hoá cẩn thận quan sát anh ta một lúc và cố gắng tìm kiếm manh mối trên người anh ta. Hẳn rồi, cậu nhanh chóng thấy mấy lá bài trong túi áo anh ta. NPC mang theo bài Tây à? Nói anh ta không có ý gì thì ma nào thèm tin.
Hiển nhiên, IQ của NPC này được thiết lập không tốt lắm. Dưới sự ép buộc và dụ dỗ của Đồ Hoá, một lúc sau anh ta thú nhận: “Đúng vậy, tôi có manh mối cuối cùng.”
“Mà muốn lấy cũng không có dễ đâu nha.” Anh ta vừa nói vừa đưa những lá bài ra.
Có tổng cộng 6 lá bài: Bốn (4), hai (2), át (A), đầm (Q), và 2 lá già (K). Anh xáo trộn thứ tự của sáu lá bài và đặt chúng lên bàn, sau đó nói: “Đây là sáu lá bài với 2 lá già. Cậu có 1 cơ hội để lật hai lá cùng một lúc.”
“Cậu phải dự đoán trước mình sẽ lật lá nào, và 2 lá cậu lật ra phải trùng với dự đoán. Đương nhiên, cậu đâu thể đoán bừa được.” NPC kiêu ngạo nói: “Cậu chỉ có hai lựa chọn: Ít nhất một trong hai lá bài có quân già; hoặc hai quân bài này không có quân già. Cậu chọn một trong hai khả năng này, và 2 lá bài cậu lật phải giống với dự đoán của cậu.”
“Nếu cậu làm được thì tôi sẽ cho cậu manh mối cuối cùng.”
Đồ Hoá hiểu ý của anh ta. Cậu được yêu cầu lựa chọn giữa ‘ít nhất một trong hai quân bài là lá già’ và ‘không có quân bài nào là lá già’, kết quả khi lật bài phải giống như dự đoán. Trong sáu quân bài, có hai lá già, và cậu phải lật hai quân bài cùng một lúc. Điều này có nghĩa là cậu đang đặt cược xem hai quân bài này là gì.
Đây là một câu hỏi về xác suất. Đồ Hoá phải xác định trong 2 khả năng trên, khả năng nào có xác suất xảy ra cao hơn rồi mới có thể chọn.
Nếu là bài toán xác suất thì thật ra rất dễ.
Vương Bác Vũ nhanh chóng đưa ra các bước và đáp án để phân tích xác suất: “Câu hỏi này thực ra rất đơn giản. Tổng cộng chỉ có 6 quân bài. Đầu tiên, đánh số hai quân già là 1 và 2, bốn quân bài còn lại lần lượt là 3, 4, 5, 6. Nếu rút hai thẻ cùng một lúc, ta có cổng tộng 15 tổ hợp.”
Tổ hợp là cách chọn những phần tử từ một nhóm lớn hơn mà không phân biệt thứ tự.
1 – 2; 2 – 3; 3 – 4; 4 – 5; 5 – 6
1 – 3; 2 – 4; 3 – 5; 4 – 6
1 – 4; 2 – 5; 3 – 6
1 – 5; 2 – 6
1 – 6
“Quân bài già được biểu thị là số 1 và số 2. Vì vậy, trong 15 tổ hợp số này có 9 tổ hợp trong đó có ít nhất một quân già, 6 tổ hợp không có quân già nào trong hai lá bài… ”
“Vì vậy, trong tổng số 15 tổ hợp, xác suất để hai quân bài có ít nhất một quân già là 9⁄15 hoặc 3⁄5, xác suất không có quân già là 2⁄5.”
Đồ Hoá gật đầu: “Đúng vậy, nói cách khác, nếu chúng ta chọn khả năng có ít nhất một lá già thì xác suất thắng tương đối cao.”
NPC có vẻ rất đắc ý: “Vậy là cậu chọn ít nhất có một lá già à?”
Trước mặt anh ta có 6 quân bài ngửa được đặt ngay ngắn. Nếu Đồ Hoá dự đoán như vậy, chỉ cần cậu lật 2 lá và có 1 quân già thì cậu thắng và nhận được manh mối cuối cùng. Tuy nhiên, dù có tính như thế nào thì xác suất này cũng không đạt 100%.
Cho dù xác suất xuất hiện ít nhất một lá già cao hơn thì cũng không chứng minh được Đồ Hoá chắc chắn sẽ chọn được nó. Nếu không may mắn, rất có thể cậu sẽ không lật được lá K nào.
Vương Bác Vũ cũng nhận ra có gì đó không ổn: “Xác suất thì dễ tính nhưng còn thực tế lật bài thế nào thì… Cũng là đánh cược với vận may nhỉ?”
NPC vô tội nhún vai: “Chịu thôi. Quy tắc là như vậy.”
Vương Bác Vũ khó chịu: “Nhưng nó không công bằng!”
Thấy hai người sắp cãi nhau, Đồ Hoá đột nhiên vươn tay giữ lấy Vương Bác Vũ để ra hiệu cho hắn bình tĩnh lại, sau đó bình tĩnh nhìn NPC: “Tôi chọn ít nhất có một lá già.”
NPC mỉm cười nhìn cậu: “Vậy thì xin mời cậu lật bài.”
Đồ Hoá gật đầu, không chút do dự lật ngẫu nhiên hai quân bài. Quân bài thứ nhất là đầm, quân thứ hai là già.
Vương Bác Vũ rất phấn khích: “Mày giỏi quá! Sao mày làm được vậy?! Mày may mắn vậy sao?!”
NPC cũng có chút kinh ngạc, nhưng anh ta không kinh ngạc vì Đồ Hoá tìm được là già. Nếu tính toán thì đúng là xác suất xuất hiện ít nhất một lá già cao hơn. Điều khiến anh thực sự ngạc nhiên là thái độ của Đồ Hoá.
Rõ ràng đối với người chơi, đây đúng là đánh cược một phen. Vậy tại sao Đồ Hoá lại có thể tự tin như thể… Cậu ta có con mắt thứ 3 nhìn ra được quân bài?
NPC bối rối, Vương Bác Vũ cũng lúng túng. Đồ Hoá mỉm cười nhìn NPC, đưa tay về phía anh ta: “Tôi trả lời đúng rồi. Anh cho tôi gợi ý nhé.”
NPC cau mày, giống như gặp phải lỗi hệ thống lần đầu tiên trong đời: “Cậu nói cho tôi biết trước… Làm sao cậu biết lá bài đó là lá già?”
Đồ Hoá bình tĩnh nói: “Đoán bừa.”
NPC híp mắt: “Cóc tin!”
“Ừ, không phải đoán bừa.” Đồ Hoá cười rồi nói: “Cho tôi manh mối trước đi rồi tôi cho anh biết.”
Bị thúc đẩy bởi lòng hiếu kì, NPC ngốc nghếch sẵn sàng đưa tờ giấy trong túi ra. Đồ Hoá mở ra thì thấy đây đúng là manh mối.
NPC càng mong ngóng muốn biết hơn: “Nói tôi biết được chưa?”
Đồ Hoá đưa tờ giấy cho Vương Bác Vũ, sau đó giơ lá K mà cậu đã lật lên: “Anh nhìn kĩ lá này đi.”
NPC híp mắt nhìn kĩ đến mức hai mắt suýt nữa giao nhau, rốt cục anh ta cũng phát hiện bí ẩn: Một nếp gấp nhỏ xíu nằm ngay góc trên bên phải của lá bài.
Lúc này anh ta mới hiểu ra. Anh ta tức giận, rống to: “Cậu gian lận!”
Nếp gấp đó là Đồ Hoá đánh đấu khi lấy mấy lá bài từ túi NPC. Cậu đã sớm thấy có 2 lá già trong 6 lá bài này. Vì vậy, cậu nhẹ nhàng gấp góc của một lá già. Nếp gấp nhỏ đến mức chỉ có cậu mới để ý.
NPC ra cái vẻ như bị lừa, vẻ mặt ủ rũ muốn cướp lại manh mối: “Cái đồ gian lận! Sao cậu có thể làm như vậy được?!”
Với vẻ mặt vô tội, Đồ Hoá trả đũa anh ta: “Quy tắc đâu có nói người chơi không thể đánh dấu trước. Chịu thôi. Quy tắc là như vậy.”
NPC kêu thảm thiết: “Đồ gian lận! Làm sao có thể có người chơi dối trá như thế này chứ!”
Đồ Hoá bình tĩnh bỏ lá bài xuống và bước đến cổng với manh mối. Cậu so sánh manh mối cuối cùng với các thông tin khác: [Có một nút giữa E và A].
Đồ Hoá suy nghĩ một hồi, sau đó nhìn sáu cái nút ở cửa và cười tươi: “Tôi biết phải bấm nút nào rồi.”
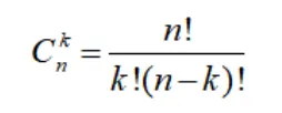
Mình có lời muốn nói: Mình giải thích thêm chỗ Vương Bác Vũ nói ‘có 15 tổ hợp’. Trong chương trình toán phổ thông lớp 11 đã có dạy tổ hợp, chỉnh hợp, xác suất. Trong trường hợp này, vì số lượng phần tử ít nên có thể đếm tay được chứ trên thực tế, nếu tổ hợp lớn hơn thì phải áp dụng công thức như sau:

Ví dụ, bốc 2 trong 6 lá bài thì số tổ hợp là tổ hợp chập 2 của 6, nghĩa là 6C2 = 15. Chứ giả bộ NPC cho bốc 5 trong 52 lá bài thì số tổ hợp là 52C5 = 2,598,960 không đếm kiểu như Vương Bác Vũ được đâu =)) Kí hiệu như này không sai, chỉ là nó không giống trong sách giáo khoa thôi nha.